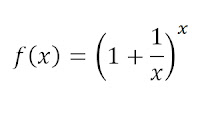
Hay una función que nos permite "acercarnos" al valor de e si nos movemos "mucho" hacia la derecha. Es, decir, que si tomas valores de x cada vez más grandes, el valor de su imagen, f(x) se va "acercando" a ese número extraño llamado e.
Tu tarea ahora consiste en construir la función que aparece aquí, en Geogebra, obtener su gráfica, moverte por ella y, ... obtener una captura de pantalla donde se observe esa representación gráfica que has obtenido, así como varios puntos sobre los que te has situado y que ha dado lugar a "esa aproximación" obtenida de e.
- La entrega de esta parte de la tarea será a través del correo electrónico (alumnos de 4ºA) o EVAGD (alumnos de 4ºB)
- Plazo de presentación: 24 de mayo (hasta las 23:55 horas)


No hay comentarios:
Publicar un comentario
Gracias por tu colaboración en el proyecto..... La fiesta de e cada vez más concurrida.... Pronto moderaremos tu comentario.